트리(Tree)
노드와 링크로 구성된 자료구조를 말한다.
폴더, 조직도 등의 계층적 구조를 나타낼 때 사용한다.
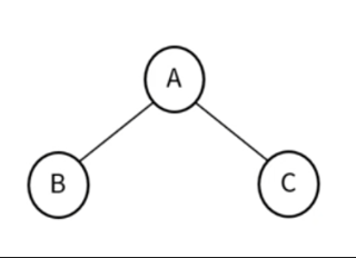
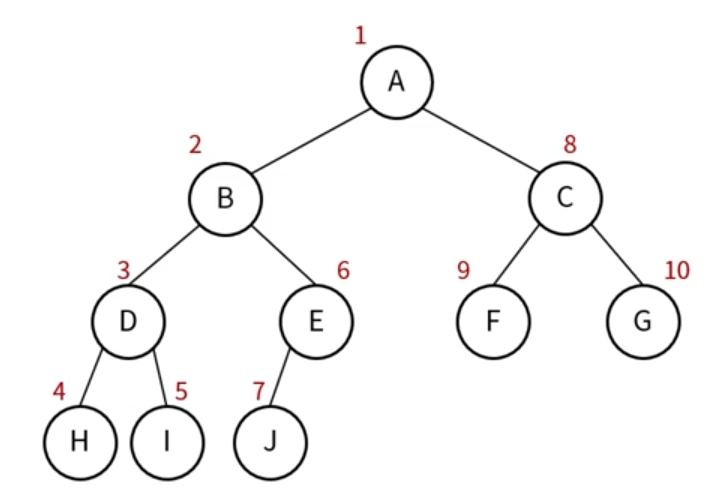
용어설명 (위 사진참고)
- Node: 트리구조에서 값을 담고있는 단위
- Edge: 노드간 연결선 (link 혹은 branch라고도 함)
- Root: 부모가 없는 최상단의 노드 (A)
- Leaf: 자식이 없는 노드 (E, F, G)
- 내부노드: Leaf 노드를 제외한 나머지 노드
- 부모노드: (상대적 개념) 연결된 두 노드 중 상위 노드
- 자식노드: (상대적 개념) 연결된 두 노드 중 하위 노드
- 형제노드: 같은 부모와 연결된 노드
- Depth: 루트(최상단 노드)에서 특정 노드까지 Edge의 수
- Level: 트리의 깊이를 의미함. Lv.0부터 시작한다. (Lv.2: D, E, F)
- Height: 가장 큰 레벨값
- Size: 자신 노드를 포함하여 자식 노드의 개수
- 차수: 각 노드가 가진 Edge의 수
- 트리의 차수: 트리에서 하나의 노드가 가지고 있는 최대 Edge의 수
특징
- 특정 노드에서 특정 노드로 이동하는 경우는 단 한가지다.
- 노드가 N개일 경우 트리의 전체 Edge 수는 N-1
- Cycle이 존재하지 않는 Acyclic 구조 (트리와 그래프의 차이점)
- 하나의 Edge를 끊으면, 별개의 트리 생성으로 간주함. (Sub-Tree)
이진트리 (Binary Tree)
- 각 노드는 최대 2개의 자식을 가질 수 있다.
자식 노드는 좌우로 구분함.
이진트리의 종류
- 포화 이진트리: 모든 레벨에서 각 노드마다 Edge가 2개씩 완전히 채워진 트리를 말한다.
- 완전 이진트리: 마지막 레벨을 제외하고 모든 레벨 구간에서 노드들이 모두 채워진 트리를 말한다.
- 정 이진트리: 모든 레벨에서 모든 노드가 0개 또는 2개의 자식 노드를 갖는 트리. (1개는 X)
- 편향트리: 모든 레벨에서 모든 노드가 1개의 Edge만 갖는 트리 (한쪽으로 기울어진 모양이다.)
- 균형 이진트리: 모든 레벨 구간에서 트리의 좌우 Edge를 끊었을 때, 끊어진 좌우의 서브트리 높이차이가 1을 초과하지 않는 트리.
- D-B-A-C 트리에서 A를 기준으로 좌우를 끊을 경우 D-B-와 -C가 생성된다. 이 둘은 트리높이가 각각 2와 1이므로 D-B-A-C는 균형 이진트리다.
- 균형 이진트리가 그렇지 않은 트리보다 탐색속도가 더 빠르다.
이진트리의 특징
- 포화이진트리의 높이가 h면, 노드의 수는 2^(h+1) - 1

- 사진에서 h = 1이므로 식에 대입하면 노드의 수는 3
- 포화이진트리, 완전이진트리의 노드 개수가 N일때 높이는 log(2)N
- 이진트리의 노드 개수가 N일때 가능한 최대 높이는 N-1
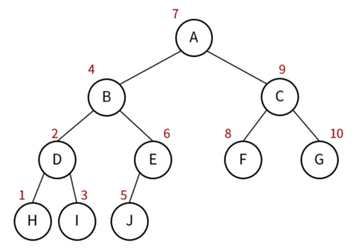
이진트리의 순회 (Traversal)
- 이진트리에 존재하는 모든 노드를 딱 한번씩 방문하는 연산(중복X)
- 순회 종류는 4가지
- 전위순회, 중위순회, 후위순회: Depth중심의 DFS 순회방법.
- 레벨순회: 각 레벨별로 차례차례 순회하는 BFS 순회방법.
이진트리의 순회 종류와 구현
- 전위순회, 중위순회, 후위순회 각각을 재귀함수로 구현하는 방식은 출력 위치에만 차이를 두고 나머지 코드의 구조는 비슷하다.
전위순회
현재노드-> 왼쪽노드 최대Depth까지 -> 오른쪽노드

class BinaryTree {
char[] arr;
BinaryTree(char[] data) {
this.arr = data.clone();
}
public void preOrder(int idx) {
System.out.print(this.arr[idx] + " ");
int left = 2 * idx + 1; // 트리 구조에 따른 left와 right의 위치는 이렇다.
int right = 2 * idx + 2;
if (left < this.arr.length) { //
this.preOrder(left);
}
// 재귀함수를 돌면서 left의 left노드부터 모드 호출
if (right < this.arr.length) {
this.preOrder(right);
// left의 left노드 호출이 최대 레벨까지 끝난 후 right노드 호출
}
}
}
중위순회
왼쪽노드 -> 현재노드 -> 오른쪽노드

public void inOrder(int idx) {
int left = 2 * idx + 1;
int right = 2 * idx + 2;
if (left < this.arr.length) {
this.inOrder(left); // 노드의 left노드가 있으면 따라 내려간다
}
System.out.print(this.arr[idx] + " ");
// 최대 레벨까지 간 후에 left노드 호출
if (right < this.arr.length) {
this.inOrder(right);
}
}
후위순회
왼쪽노드 -> 오른쪽노드 -> 현재노드

public void postOrder(int idx) {
int left = 2 * idx + 1;
int right = 2 * idx + 2;
if (left < this.arr.length) {
this.postOrder(left); //
}
if (right < this.arr.length) {
this.postOrder(right);
}
System.out.print(this.arr[idx] + " ");
}
레벨순회
각 레벨별로 좌에서 우로 순회
public void levelOrder(int idx) {
for (int i = 0; i < this.arr.length; i++) {
System.out.print(this.arr[i] + " ");
// 레벨오더는 각각의 레벨을 순서대로 좌->우로 순회한다.
}
}'자바' 카테고리의 다른 글
| [자바] 힙(Heap) - 최대힙 / 최소힙 개념과 구현. java (0) | 2022.06.22 |
|---|---|
| [자바] 업캐스팅과 다운캐스팅 (0) | 2022.06.21 |
| [자바] 균형 이진 탐색 트리 - AVL트리의 개념과 삽입 구현까지 (0) | 2022.06.18 |
| [자바] 이진 탐색 트리 (Binary Search Tree) (0) | 2022.06.18 |
| [자바] 1차원 배열과 2차원 배열, 가변배열의 오름차순, 내림차순 정렬 (0) | 2022.06.16 |
